«Ақмола облысы білім басқармасының Есіл ауданы бойынша білім бөлімі Есіл қаласының № 3 жалпы орта білім беретін мектебі» КММ
КГУ  «Общеобразовательная школа № 3 города Есиль отдела образования по Есильскому району управления образования Акмолинской области»

Ұйымдар тізімі

Галерея

Смотреть все>>>

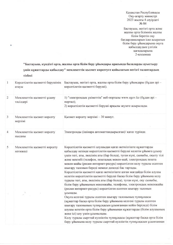
"Бастауыш, күндізгі орта, жалпы орта білім беру ұйымдары арасында балаларды ауыстыру үшін құжаттарды қабылдау"


S?]j޷cF#*ȥ;s6;?Ib>
Текст